近期,中国科学院新疆天文台与新疆大学联合培养的硕士研究生魏宇,在导师王娜研究员和姚菊枚副研究员的指导下,利用中国天眼(FAST)与费米伽马射线大面积望远镜(Fermi-LAT)的联合观测数据,在年轻脉冲星PSR J0002+6216的计时和偏振研究方面取得了突破性进展。相关成果已发表于《天体物理学》杂志(ApJ, 2025, 984, 64)。论文链接:点击这里。
PSR J0002+6216是由Fermi-LAT发现的一颗伽马射线脉冲星。2018年, Effelsberg射电望远镜探测到其较为微弱的射电信号, 并给出了色散测量, 但未获得偏振测量。基于Fermi-LAT十年的观测数据,Schinzel等(2019)通过计时分析发现PSR J0002+6216是一颗与超新星遗迹SNR CTB1成协的超高速脉冲星(速度约为1600 km/s),因此被称为宇宙中的“飞毛腿”。然而,2023年, Bruzewski等基于甚长基线测量方法(VLBI)发现PSR J0002+6216是一个正常速度的脉冲星(速度为335 km/s)。因此,FAST的高精度计时对于理解速度测量差异至关重要,同时高精度偏振观测对于揭示其自转方向,并进一步研究自转与速度的关系也具有关键作用。
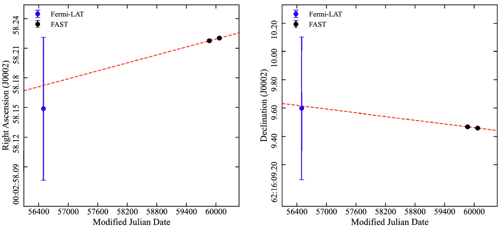
自2020年起,科研人员利用FAST对脉冲星PSR J0002+6216开展长期观测,并结合Fermi-LAT近16年的观测数据,首次在该源上探测到两次周期跃变事件。研究发现,该脉冲星在2019年经历了一次小跃变,而在2024年又发生了一次大跃变,并出现了明显的指数恢复过程。更重要的是,基于Fermi-LAT与FAST的联合数据,科研人员利用脉冲星计时方法对PSR J0002+6216的位置与自行进行了高精度测量,得到其总自行为39.05 mas/yr、方向角为113.76度,显著提高了置与自行的测量精度。这一结果不仅与VLBI观测高度一致,同时证明了PSR J0002+6216并非超高速脉冲星。

图 1. PSR J0002+6216在赤经和赤纬随时间的变化。蓝点和黑点分别为Fermi和FAST数据,红色虚线为自行的最优拟合结果。
研究人员首次测得该脉冲星的法拉第旋转测量值(RM)为−179.16 rad/m²,并更新了色散量。通过旋转矢量模型(RVM)拟合,确定了脉冲星自转轴在三维空间中的方向,并测得其在天空平面上的投影角约为90度。发现自转轴与自行方向角存在约23度的夹角。这一结果为理解脉冲星的形成过程及其自转与自行运动之间的关系提供了新的观测证据。

图2. PSR J0002+6216在1375 MHz下的偏振曲线。下图为脉冲轮廓,中图为偏振位置角观测结果,上图为拟合残差。
这项研究通过计时分析确认,PSR J0002+6216是一颗正常速度的年轻脉冲星。若PSR J0002+6216与超新星遗迹CTB 1成协,则根据其当前位置与自行推算出的运动学年龄约为47.6千年。未来,仍需积累更多超高速脉冲星的样本,以进一步验证脉冲星自转轴与速度方向之间的关系。该研究不仅加深了对脉冲星运动学性质的理解,也为揭示超新星爆发的动力学机制及中子星的起源过程提供了新的视角。
研究工作得到了国家自然科学基金和国家重点研发计划等项目的资助支持。国家天文科学数据中心为天文观测设备和研究计划提供数据与技术服务。
新闻来源:新疆天文台官网